3377体育

信息公开

当前位置: 公司首页 > 信息公开 > 正文

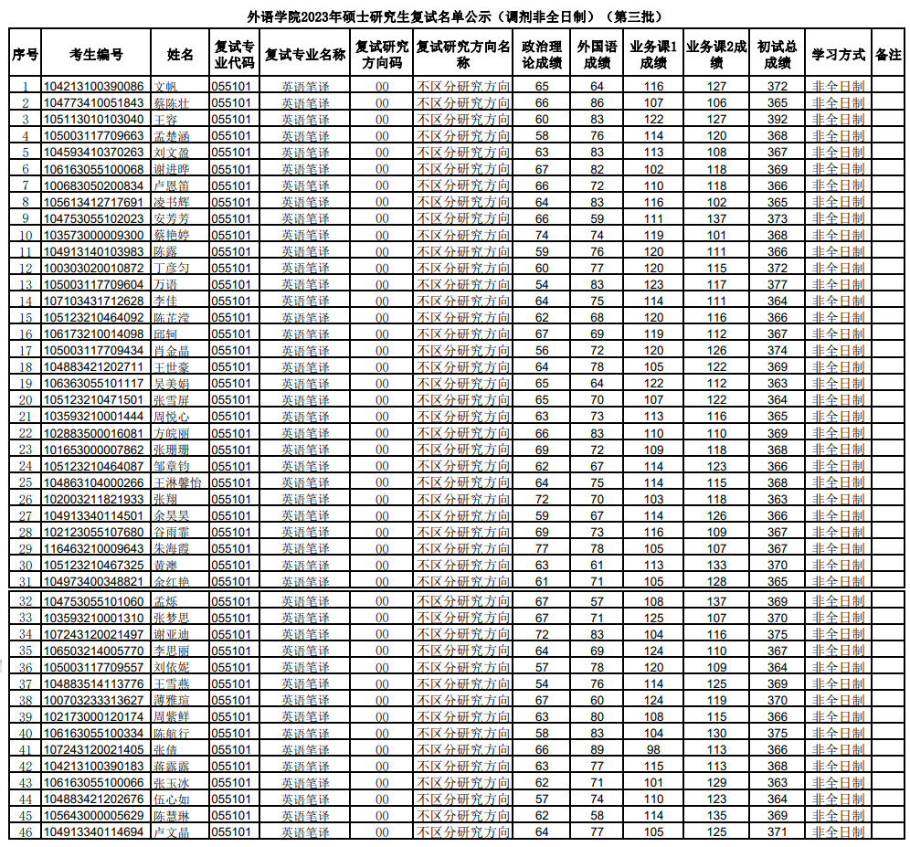
3377体育2023年硕士研究生复试名单公示(调剂非全日制)(第三批)

时间:2023-04-11 点击:作者:

上一篇:3377体育2023年硕士研究生复试成绩公示(第二批)

下一篇: 3377体育2023年硕士研究生复试名单公示(调剂全日制)(第二批)

联系我们:

地址:中国.湖北.武汉.东湖新技术开发区光谷一路206号  

邮编:430205          电话: 027-87992026

版权所有 3377体育-权威体育赛事平台-中国官方网站 All Rights Reserved 2016-2026

友情链接:

3377app公众号